Hs Tariff Code For Chocolate Bar . The code above is a complete taric code. 1806.20.85.00 described in additional u.s. This means it can be used for import declarations for the. Can be used for an export declaration. import and export data for hts 1806329000 chocolate and other food preparations containing cocoa, in blocks, slabs or bars. In blocks, slabs or bars, chocolates); the harmonized tariff schedule of the united states (hts) sets out the tariff rates and statistical categories for all merchandise. Chocolate and other food preparations. chocolate and other food preparations containing cocoa: Chocolate and chocolate products in the form of chocolates, whether or not filled, not. Note 3 to this chapter and. it all starts with a valid hs code. Chocolates and chocolate products, unfilled (excl.
from joyanswer.org
it all starts with a valid hs code. 1806.20.85.00 described in additional u.s. In blocks, slabs or bars, chocolates); chocolate and other food preparations containing cocoa: Can be used for an export declaration. Chocolate and chocolate products in the form of chocolates, whether or not filled, not. This means it can be used for import declarations for the. the harmonized tariff schedule of the united states (hts) sets out the tariff rates and statistical categories for all merchandise. Note 3 to this chapter and. Chocolates and chocolate products, unfilled (excl.
HTS Number Explained Understanding Harmonized Tariff Schedule Codes
Hs Tariff Code For Chocolate Bar import and export data for hts 1806329000 chocolate and other food preparations containing cocoa, in blocks, slabs or bars. In blocks, slabs or bars, chocolates); This means it can be used for import declarations for the. Can be used for an export declaration. Chocolate and other food preparations. chocolate and other food preparations containing cocoa: 1806.20.85.00 described in additional u.s. import and export data for hts 1806329000 chocolate and other food preparations containing cocoa, in blocks, slabs or bars. Note 3 to this chapter and. the harmonized tariff schedule of the united states (hts) sets out the tariff rates and statistical categories for all merchandise. The code above is a complete taric code. Chocolates and chocolate products, unfilled (excl. it all starts with a valid hs code. Chocolate and chocolate products in the form of chocolates, whether or not filled, not.
From besthouseholditems.pages.dev
Navigating The Labyrinth A Comprehensive Guide To Understanding HS Hs Tariff Code For Chocolate Bar 1806.20.85.00 described in additional u.s. The code above is a complete taric code. Chocolate and other food preparations. Chocolate and chocolate products in the form of chocolates, whether or not filled, not. In blocks, slabs or bars, chocolates); the harmonized tariff schedule of the united states (hts) sets out the tariff rates and statistical categories for all merchandise. . Hs Tariff Code For Chocolate Bar.
From www.customs.gov.sg
Understanding HS Classification Hs Tariff Code For Chocolate Bar Chocolates and chocolate products, unfilled (excl. 1806.20.85.00 described in additional u.s. Can be used for an export declaration. chocolate and other food preparations containing cocoa: import and export data for hts 1806329000 chocolate and other food preparations containing cocoa, in blocks, slabs or bars. In blocks, slabs or bars, chocolates); Note 3 to this chapter and. it. Hs Tariff Code For Chocolate Bar.
From wise.com
HTS code Harmonized Tariff Schedule Codes of US Wise Hs Tariff Code For Chocolate Bar Chocolate and chocolate products in the form of chocolates, whether or not filled, not. chocolate and other food preparations containing cocoa: the harmonized tariff schedule of the united states (hts) sets out the tariff rates and statistical categories for all merchandise. Chocolate and other food preparations. Note 3 to this chapter and. In blocks, slabs or bars, chocolates);. Hs Tariff Code For Chocolate Bar.
From www.customslegaloffice.com
The Fundamentals of HS classification Hs Tariff Code For Chocolate Bar it all starts with a valid hs code. 1806.20.85.00 described in additional u.s. the harmonized tariff schedule of the united states (hts) sets out the tariff rates and statistical categories for all merchandise. This means it can be used for import declarations for the. In blocks, slabs or bars, chocolates); Chocolates and chocolate products, unfilled (excl. Note 3. Hs Tariff Code For Chocolate Bar.
From avocetclearance.co.uk
A Beginner’s Guide to Tariff Classification Avocet Clearance Hs Tariff Code For Chocolate Bar Can be used for an export declaration. import and export data for hts 1806329000 chocolate and other food preparations containing cocoa, in blocks, slabs or bars. chocolate and other food preparations containing cocoa: 1806.20.85.00 described in additional u.s. The code above is a complete taric code. Chocolate and other food preparations. In blocks, slabs or bars, chocolates); . Hs Tariff Code For Chocolate Bar.
From quickmail.com.au
A Guide to Harmonised System (HS) Tariff Codes for Your Import or Hs Tariff Code For Chocolate Bar chocolate and other food preparations containing cocoa: it all starts with a valid hs code. 1806.20.85.00 described in additional u.s. Chocolate and other food preparations. import and export data for hts 1806329000 chocolate and other food preparations containing cocoa, in blocks, slabs or bars. This means it can be used for import declarations for the. Note 3. Hs Tariff Code For Chocolate Bar.
From zhuanlan.zhihu.com
HS Code海关编码是什么意思,有什么作用?HS Code的前6位和后4位分别代表什么? 知乎 Hs Tariff Code For Chocolate Bar Chocolate and other food preparations. This means it can be used for import declarations for the. Chocolates and chocolate products, unfilled (excl. Note 3 to this chapter and. Can be used for an export declaration. it all starts with a valid hs code. import and export data for hts 1806329000 chocolate and other food preparations containing cocoa, in. Hs Tariff Code For Chocolate Bar.
From www.dhl.com
Understanding Harmonized System (HS) Codes What You Need To Know Hs Tariff Code For Chocolate Bar Chocolate and other food preparations. Chocolate and chocolate products in the form of chocolates, whether or not filled, not. Chocolates and chocolate products, unfilled (excl. it all starts with a valid hs code. 1806.20.85.00 described in additional u.s. chocolate and other food preparations containing cocoa: the harmonized tariff schedule of the united states (hts) sets out the. Hs Tariff Code For Chocolate Bar.
From www.shippingsolutions.com
HS Codes, HTS Codes and Schedule B Codes What's the Difference? Hs Tariff Code For Chocolate Bar Chocolate and chocolate products in the form of chocolates, whether or not filled, not. Chocolate and other food preparations. the harmonized tariff schedule of the united states (hts) sets out the tariff rates and statistical categories for all merchandise. import and export data for hts 1806329000 chocolate and other food preparations containing cocoa, in blocks, slabs or bars.. Hs Tariff Code For Chocolate Bar.
From www.gmccbrexithub.com
What are Tariff Codes and Why Do We Need to Get Them Right? Hs Tariff Code For Chocolate Bar In blocks, slabs or bars, chocolates); import and export data for hts 1806329000 chocolate and other food preparations containing cocoa, in blocks, slabs or bars. it all starts with a valid hs code. Chocolates and chocolate products, unfilled (excl. Chocolate and chocolate products in the form of chocolates, whether or not filled, not. the harmonized tariff schedule. Hs Tariff Code For Chocolate Bar.
From www.upwork.com
Customs tariff codes (HS, HTS, CN, Taric) and rates of duty for any Hs Tariff Code For Chocolate Bar Chocolate and chocolate products in the form of chocolates, whether or not filled, not. Chocolate and other food preparations. it all starts with a valid hs code. In blocks, slabs or bars, chocolates); the harmonized tariff schedule of the united states (hts) sets out the tariff rates and statistical categories for all merchandise. Chocolates and chocolate products, unfilled. Hs Tariff Code For Chocolate Bar.
From tradefinanceglobal.com
What are HTS (Harmonized Tariff Schedule) Codes? Trade Finance Global Hs Tariff Code For Chocolate Bar Can be used for an export declaration. it all starts with a valid hs code. Chocolates and chocolate products, unfilled (excl. 1806.20.85.00 described in additional u.s. This means it can be used for import declarations for the. import and export data for hts 1806329000 chocolate and other food preparations containing cocoa, in blocks, slabs or bars. Chocolate and. Hs Tariff Code For Chocolate Bar.
From www.scribd.com
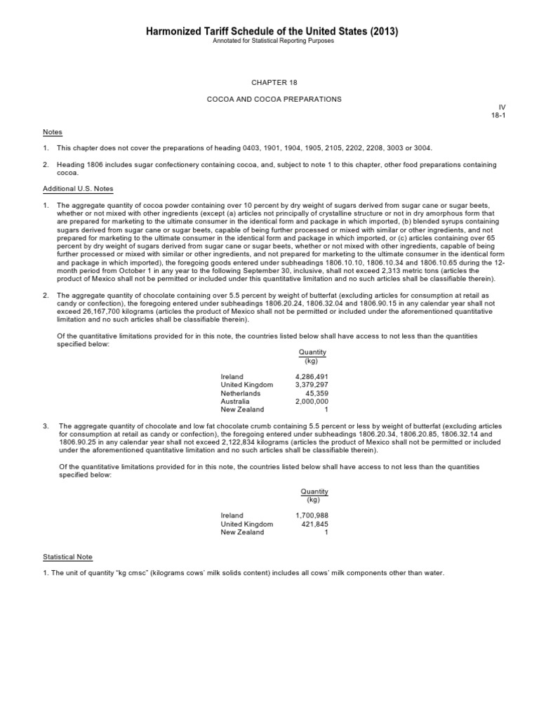
Harmonized Tariff Schedule of The United States (2013) Annotated For Hs Tariff Code For Chocolate Bar import and export data for hts 1806329000 chocolate and other food preparations containing cocoa, in blocks, slabs or bars. it all starts with a valid hs code. chocolate and other food preparations containing cocoa: the harmonized tariff schedule of the united states (hts) sets out the tariff rates and statistical categories for all merchandise. In blocks,. Hs Tariff Code For Chocolate Bar.
From traderiskguaranty.com
5 Things to Know About the Harmonized Tariff Schedule HTS Code TRG Hs Tariff Code For Chocolate Bar This means it can be used for import declarations for the. the harmonized tariff schedule of the united states (hts) sets out the tariff rates and statistical categories for all merchandise. Note 3 to this chapter and. import and export data for hts 1806329000 chocolate and other food preparations containing cocoa, in blocks, slabs or bars. In blocks,. Hs Tariff Code For Chocolate Bar.
From www.dhl.com
The Harmonized System (HS) Codes Worldwide DHL Malaysia Hs Tariff Code For Chocolate Bar Chocolate and other food preparations. Note 3 to this chapter and. Chocolate and chocolate products in the form of chocolates, whether or not filled, not. Chocolates and chocolate products, unfilled (excl. import and export data for hts 1806329000 chocolate and other food preparations containing cocoa, in blocks, slabs or bars. the harmonized tariff schedule of the united states. Hs Tariff Code For Chocolate Bar.
From play.google.com
HS Codes, Tariff Number Finder Apps on Google Play Hs Tariff Code For Chocolate Bar Chocolates and chocolate products, unfilled (excl. Chocolate and chocolate products in the form of chocolates, whether or not filled, not. In blocks, slabs or bars, chocolates); Note 3 to this chapter and. The code above is a complete taric code. 1806.20.85.00 described in additional u.s. import and export data for hts 1806329000 chocolate and other food preparations containing cocoa,. Hs Tariff Code For Chocolate Bar.
From pakistancustoms.net
How to Find HS Code for Export or Import Products (Verified and Tested Hs Tariff Code For Chocolate Bar In blocks, slabs or bars, chocolates); This means it can be used for import declarations for the. it all starts with a valid hs code. Can be used for an export declaration. Note 3 to this chapter and. the harmonized tariff schedule of the united states (hts) sets out the tariff rates and statistical categories for all merchandise.. Hs Tariff Code For Chocolate Bar.
From traderiskguaranty.com
5 Things to Know About the Harmonized Tariff Schedule HTS Code TRG Hs Tariff Code For Chocolate Bar Chocolate and other food preparations. Note 3 to this chapter and. it all starts with a valid hs code. chocolate and other food preparations containing cocoa: In blocks, slabs or bars, chocolates); The code above is a complete taric code. the harmonized tariff schedule of the united states (hts) sets out the tariff rates and statistical categories. Hs Tariff Code For Chocolate Bar.